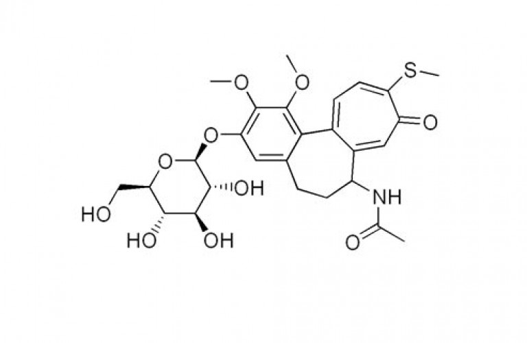
Thiocolchicoside 99%

CAS number: 602-41-5

Plant source: Gloriosa superba

Thiocolchicoside, a semisynthetic colchicoside from the plant Gloriosa superba, is a muscle relaxant and used to treat rheumatologic and orthopedic disorders because of its analgesic and anti-inflammatory mechanisms.